Football Star

Salah Gaoua A Moh A Moh

Iata Codes Aviation Violence
www.scribd.com

Adekanyince Investment Venture Adel Mazouz Pages Directory
www.facebook.com

Salah Gaoua Chante Muhend Aɣeddu Anda Teddid Aneddu De Ali
www.youtube.com

A Moh A Moh Youtube
www.youtube.com

Iata Location Code List
www.yumpu.com

2

2

Financial Costs And Population Treated By Country And Mda Year
www.researchgate.net

Videos Latest Videos From And About Gaoua Burkina Faso
www.townsoftheworld.com

Adekunle Israel Adel Asar Pages Directory
www.facebook.com

Dossier De Presse Pdf Telechargement Gratuit
docplayer.fr

2

Financial Costs And Population Treated By Country And Mda Year
www.researchgate.net

Iata Icao Airport Name Location Served Trans Express Freight Lines
www.yumpu.com

Location Indicators Indicateurs D Emplacement
www.yumpu.com

Int Airport Codes Pdf Mcl Logistics Turkey
www.yumpu.com

Pdf National Mass Drug Administration Costs For Lymphatic
www.researchgate.net

Taidea Tech Co Ltd Seller Exporters Producers Knife Sharpener
baul89.allactiontrade.com

Iata Codes
www.scribd.com

Videos Latest Videos From And About Gaoua Burkina Faso
www.townsoftheworld.com

Videos Latest Videos From And About Gaoua Burkina Faso
www.townsoftheworld.com

Updated Airport Code With County Code Pdf Document
fdocuments.in

Https Www Mapsofworld Com International Airports Africa Algeria
www.mapsofworld.com

Zakou Saidani A Moh A Moh Youtube
www.youtube.com

Videos Latest Videos From And About Gaoua Burkina Faso
www.townsoftheworld.com

Ch Ou Aib Khelifati Chouaib 9 Followers Instagram Photos
www.pictame.com

2

Evermen Samanci Group Seller Exporters Manufacturers Men
evermen.allactiontrade.com

Videos Latest Videos From And About Gaoua Burkina Faso
www.townsoftheworld.com

Financial Costs And Population Treated By Country And Mda Year
www.researchgate.net

2014 International Conference On Multimedia Computing And
pdfslide.net

Codigos De Aeropuertos Y Ciudades By Jorge Antonio Alvarez Issuu
issuu.com

Indicator Localitati
it.scribd.com

Airport Codes
www.scribd.com

Financial Costs And Population Treated By Country And Mda Year
www.researchgate.net

Videos Latest Videos From And About Gaoua Burkina Faso
www.townsoftheworld.com

Indian Including Three Mine Workers Has Been Kidnapped In Burkina
kuwaitlisting.com

Spectacle Matoub 4 Par Salah Gaoua A Lyon Idurar Id Elaamriw
www.dailymotion.com

2

2

Rising Star Top Co Ltd Seller Exporters Manufacturers
cstcltd.allactiontrade.com

Studiodue Construction Seller Buyer Other Buyers Processors
vicentirogex.allactiontrade.com

Fun Stuff Firstclass Travel
firstclass.travel

Pgw7ht0u3nlltm

Videos Latest Videos From And About Gaoua Burkina Faso
www.townsoftheworld.com

A Moh Moh Da Slimane Azem Salah Gaoua Youtube
m.youtube.com

Http Www Ajtmh Org Content 69 3 Suppl 392 Full Pdf Ck Nck

2

Fun Stuff Firstclass Travel
firstclass.travel

Xls Viewsulzer Volvo Penta Wartsila Yanmar Container Tanker Oil
dokumen.tips

أغنية A Moh A Moh مترجمة للفنان Slimane Azem غناء Salah Gaoua
www.youtube.com

World Locations 10 Microsoft Excel Navigation
www.scribd.com

Great Wall Gems Factory Seller Exporters Cubic Zirconia
gwgems.allactiontrade.com

Salah Saadaoui Rebbi D El Qaoui
musiquekabyle.fr

Country Codes
www.scribd.com

2

International Airports Codes Pdf Crazy Holidays
www.yumpu.com

Le Kabyle Authentique Home Facebook
www.facebook.com

Airports Codes
www.scribd.com

Financial Costs And Population Treated By Country And Mda Year
www.researchgate.net

Cadenza Document Oag Com
www.yumpu.com

Hamlil Salah Album2
musiquekabyle.fr

2

Une Belle Reprise De Mouh A Mouh De Da Slimane Azem Par Yacine Yefsah
musiquekabyle.fr

Pdf 2014 Ieee Second World Conference On Complex Systems
www.researchgate.net

Ayaq Chich Serss Tavalizt Salah Gaoua Avec Un Choeur De Femmes De
www.youtube.com

Salah Gaoua Alger Alger Lili Boniche Sur Kbc Youtube
www.youtube.com

Rezki Moh Extraits De 13 Titres De L Album 2020 Youtube
www.youtube.com

Cadenza Document Oag Com
www.yumpu.com

Http Www Oecd Org Countries Burkinafaso 36747493 Pdf

Financial Costs And Population Treated By Country And Mda Year
www.researchgate.net

Videos Latest Videos From And About Gaoua Burkina Faso
www.townsoftheworld.com

S C 141 Heaven
www.yumpu.com

2

A Mouh A Mouh De Slimane Azem Par Salah Gaoua Et Les Hirondelles
www.hibazik.com

Http Saafrica Org New Wp Content Uploads 2018 10 Icasa 2011 Programme Book Pdf

Muhend U Yahia Le Tresor Du Fln Youtube
www.youtube.com

Xiongjian Stone Industry Co Ltd Seller Exporters
tristaholy.allactiontrade.com

Pgw7ht0u3nlltm

Residence Universitaire Targa Ouzemour Bejaia Photos Facebook
www.facebook.com

The Planner Herbal Int Seller Exporters Manufacturers Mahnoor
tphint123.allactiontrade.com

Do You Need To Locate An Aerodrome Worldwide
www.yumpu.com

A Mouh A Mouh De Slimane Azem Par Salah Gaoua Et Les Hirondelles
musiquekabyle.fr

Index Of Presse Barbescafe2013 Affiches Flyer Livret
www.cabaretsauvage.com

Cdigos Iata De Aeropuertos Pdf Document
fdocuments.in

Hamlil Salah Album2
musiquekabyle.fr

Une Belle Reprise De Mouh A Mouh De Da Slimane Azem Par Yacine Yefsah
musiquekabyle.fr

Videos Latest Videos From And About Gaoua Burkina Faso
www.townsoftheworld.com

Http Www Oecd Org Countries Burkinafaso 36747493 Pdf

Technarredi Srl Seller Manufacturers Shelving Mobile
technarredi.allactiontrade.com

Financial Costs And Population Treated By Country And Mda Year
www.researchgate.net

Videos Latest Videos From And About Gaoua Burkina Faso
www.townsoftheworld.com

Https Yedaiah Com Airport Codes

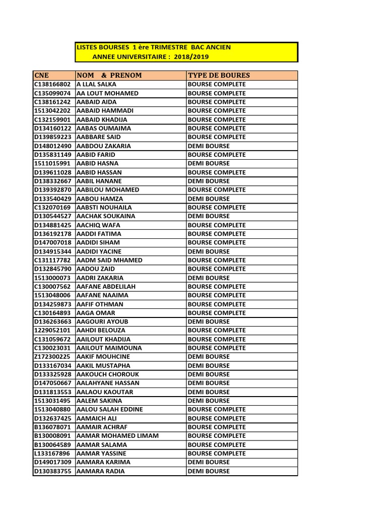
1138898 Bourses Bac Ancien 2018 2019
www.scribd.com

Fun Stuff Firstclass Travel
firstclass.travel

Elv Pdf 101 Mb Usaid
www.yumpu.com

Airport Codes Secret Flyer
www.secretflyer.com

Videos Latest Videos From And About Gaoua Burkina Faso
www.townsoftheworld.com

Salah Gaoua Chante Et Dit Mohya 26 04 2012 Restaurant L Ambassade
www.youtube.com

192200 Polio Evaluation Report En Lr Final International
www.scribd.com

close